Aterramento da blindagem em terminações TPK para cabos de média tensão
Os circuitos da blindagem metálica, em terminações de cabos isolados para média tensão, devem ser aterrados para que se tenha uma referência de terra para as correntes de carga capacitiva e de curto-circuito do sistema.
Quando a blindagem é aterrada em um único ponto (single point bonding), surge uma tensão induzida na blindagem, na extremidade livre, causada pelo campo magnético gerado pela corrente que circula no condutor.
Normalmente a tensão na extremidade livre deve ser limitada em regime de operação normal e durante curtos circuitos para evitar danos pessoais e aos elementos do sistema elétrico. Com este valor pode ser definido o comprimento máximo do circuito aterrado em um único ponto.
Não há um limite normatizado para o valor da tensão induzida, no entanto tem sido adotado o valor de 65V para sistemas de até 138kV (IEEE Std. 575-1988).
Cabos aterrados em um único ponto geralmente são restritos a circuitos de pequeno comprimento (<150m) existentes em usinas e subestações.
No caso de circuitos aterrados em um único ponto por não haver circulação de corrente na blindagem as perdas de calor são menores e o cabo pode transmitir maior potência.
O valor médio da tensão induzida no extremo livre da blindagem em relação à terra, pode ser determinada por:
sendo a indutância mútua, média por fase dada por:
Para sistemas em 60 Hz, resulta:
Se a blindagem está aterrada em ambas as extremidades, o valor médio da corrente que flui pela blindagem será dado por:
O circuito da blindagem pode ser aterrado em pelo menos um ponto ou ser multiaterrado, pelo menos nos terminações de cada extremidade.
Em geral é recomendado o aterramento do circuito da blindagem, em dois ou mais pontos, em redes de distribuição e circuitos expressos, sendo que nesses casos o dimensionamento dos cabos deve considerar as perdas Joule na blindagem.
No caso de se ter um aterramento múltiplo da blindagem, a corrente de circulação produz um campo magnético contrário ao gerado pela corrente do condutor, causando um decréscimo da indutância e um aumento da resistência efetiva do circuito. O condutor e a blindagem
metálica da isolação se comportam do mesmo modo que os enrolamentos de um transformador com relação 1-1.
Em sistemas de cabos para transmissão de energia elétrica, igual ou superior a 138kV de grande comprimento e correntes acima de 800A é frequente a utilização do sistema com transposição da blindagem metálica (cross bonding) que permite o aterramento múltiplo da blindagem, sem circulação de corrente, minimizando as perdas e aumentando sua capacidade de transmissão do sistema.
Recomendação normativa
A NBR 14039 “Instalações elétricas de média tensão de 1,0 kV a 36,2 kV” não entra em detalhes, mas recomenda:
“Item 6.2.10.6 Devem ser ligadas à terra as blindagens e/ou capas metálicas dos cabos em uma das extremidades. A segunda
extremidade pode ser aterrada.
NOTA – A segunda extremidade pode ser aterrada, desde que a transferência de potencial e a corrente que circula pela blindagem estejam dentro de limites aceitáveis. São exemplos de situações onde isto ocorre:
- a) em alimentadores longos, onde a força eletromotriz induzida na blindagem ou capa metálica, quando aterrada em uma só
extremidade, pode atingir um valor perigoso para as pessoas ou mesmo causar centelhamento;
- b) quando se pretende utilizar as blindagens como caminho de retorno da corrente de falta para a fonte.
Efeitos Térmicos da Corrente de curto circuito
A corrente de curto-circuito permissível em um condutor ou blindagem de um cabo de média tensão depende da máxima temperatura do condutor ou blindagem permitida pela isolação ou cobertura, respectivamente e da duração do defeito, isto é, do tempo de atuação dos dispositivos de proteção.
Com o propósito de determinar a capacidade de curto-circuito, é assumido que o intervalo de duração do defeito seja pequeno (< 5s), de modo que o calor gerado pelo fluxo de potência de curto-circuito
fique armazenado no condutor, não havendo, portanto, troca de calor com o meio ambiente
A equação a seguir possibilita determinar:
1 – A máxima corrente de curto-circuito permitida por um cabo em função da seção do seu condutor.
2 – A seção do condutor de um cabo necessária para suportar uma determinada corrente de curto-circuito.
3 – O tempo máximo que um cabo pode ser submetido a uma determinada corrente de curto-circuito sem dano para a isolação.
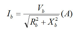
A corrente de curto-circuito para condutores de cobre ou alumínio pode ser obtida pela equação.
Para avaliação da temperatura antes do defeito, desde que esta não seja conhecida, recomenda-se que seja assumido que o cabo opera à plena carga, ou seja, deve ser considerada a máxima temperatura do condutor em regime normal permissível pela isolação.
No caso de sistemas elétricos radiais, onde a localização do trecho defeituoso é efetuada por meio de religações sucessivas do disjuntor na subestação, o número de religações e o seu tempo devem ser considerados
Como para um cabo de energia o transitório de aquecimento é muito menor do que o resfriamento, considerando um pequeno intervalo de tempo entre os sucessivos curtos-circuitos, o calor gerado tenderá a se acumular ao longo das religações.
O mesmo cuidado deve, ser tomado com cabos para travessias de redes aéreas que contenham relés religadores na subestação.
No caso de se ter conexões em emendas ou terminações feitas por meio de solda com liga de estanho e chumbo, a temperatura do condutor em regime de curto-circuito deverá ser limitada a 160°C,
para que as conexões não percam suas características físicas e mecânicas.
Dimensionamento da Blindagem Metálica
Para o dimensionamento da capacidade de curto-circuito da blindagem metálica, no caso de cabos de média tensão, em função da sua seção e do tempo de atuação dos dispositivos de proteção, recomenda-se a utilização da mesma equação adiabática adotada para o dimensionamento de condutores perante regime transitório de curto-circuito.
A tabela abaixo fornece os valores aproximados para a temperatura da blindagem no instante do curto-circuito em função da
temperatura do condutor neste instante e da tensão de isolamento do cabo em função do salto térmico entre condutor e blindagem.
A temperatura final da blindagem, após a ocorrência do transitório, será limitada pelo material que estiver em contato com ela e que poderá ser danificado.
No caso de cabos com cobertura termoplástica (PVC, PE) essa temperatura deve ser limitada a 200°C.
Análise das alternativas de aterramento da blindagem metálica
Usaremos como modelo para análise circuitos radiais derivados de redes aéreas para tornar a entendimento bem simples mais possibilitando, ao mesmo tempo, vislumbrar todas as alternativas possíveis nas circunstancias descritas.
Blindagem aterrada em um único ponto
Neste caso a blindagem será aterrada apenas na terminação de transição da linha aérea – subterrânea e nas subestações, as blindagens dos cabos, nas terminações de entrada e saída do barramento, serão interligadas e isoladas adequadamente dos referenciais de terra.
Em um circuito longo, pode se atingir tensões superiores a 65V na blindagem e no caso da perfuração da cobertura, por defeito elétrico ou mecânico em um ou mais pontos ao longo da instalação, inicia-se a circulação de corrente entre blindagem e terra, por alta impedância, causando aquecimento excessivo com a consequente destruição progressiva do cabo nos pontos de falha.
Blindagem multiaterrada
Operação em regime permanente:
No caso deste exemplo se os cabos são instalados em trifólio e supondo que o sistema seja equilibrado, os campos magnéticos gerados pelas correntes das fases se anulam e não há circulação de corrente pela blindagem em regime permanente.
Operação em regime de curtos circuitos:
Nestes casos, a tensão blindagem – terra pode ser considerada nula devido ao aterramento da blindagem dos cabos nos terminações ao longo do radial
Capacidade de curto circuito da blindagem
Dependendo do tipo de aterramento do circuito da blindagem dos cabos a distribuição da circulação de corrente será distinta.
Circuitos da blindagem aterrados em um único ponto terão o retorno de toda a corrente de curto-circuito fase-terra pela blindagem de apenas uma fase logo, seu dimensionamento deve ser para esta condição.
Circuitos com aterramento múltiplo a corrente de curto-circuito fase-terra circula nos dois sentidos da rota do circuito pela blindagem da fase defeituosa e se distribuem pelas blindagens das demais fases nos pontos de aterramento.
O fluxo de corrente de curto-circuito vai se dar em função das impedâncias das seções de blindagem (Zo) e da resistência nos pontos de aterramento (Rt).
Prática para o aterramento nas terminações TPK
Conforme as instruções de montagem das terminações TPK, quando o cabo for blindado com fios de cobre (maioria das vezes) os próprios fios devem ser conectados diretamente ao cabo de aterramento através do conector fornecido no kit da terminação.
Caso se utilize cabos com seção de blindagem superior a 6,0mm², para atender a um requisito de curto-circuito específico, deve-se utilizar conector compatível com a seção particular da blindagem do cabo.
No caso específico de cabos blindados com fita de cobre, deve ser utilizado kit de aterramento composto por mola de pressão constante e cordoalha de cobre para a conexão da fita de blindagem ao cabo de aterramento.
Considerações finais
- Existem diferentes métodos de aterramento da blindagem metálica das terminações TPK para cabos isolados para média tensão e cada um deles implica em condições de contorno distintas.
- Para as condições típicas de um sistema de distribuição, onde se tem circuitos expressos de comprimentos expressivos e significativas correntes de curto-circuito, se faz necessário o aterramento múltiplo da blindagem nos terminações TPK para que sejam evitadas tensões induzidas que podem causar danos aos equipamentos e ao pessoal de operação.
- O aterramento deve ser em cada terminação TPK, de transição linha aérea – subterrânea e nas terminações TPK das subestações.
- Para o caso da blindagem aterrada em um único ponto as tensões induzidas na blindagem do cabo devem ser limitadas a 65V em todas as contingências do sistema elétrico.
- Se os cabos forem instalados em trifólio e considerarmos o sistema equilibrado, não haverá circulação de corrente pela blindagem em regime permanente logo, não haverá perdas Joule na blindagem nesta condição.
- Caso os cabos alimentadores necessitem ser emendados ao longo de sua rota, a blindagem metálica devera ter sua continuidade garantida porem não será necessária sua conexão à terra diminuindo o risco de penetração de umidade nas emendas. Neste caso a emenda se comporta como sendo a própria reconstituição do cabo.
MDR/KIT Acessórios


